Coaxial Cable Field Theory
[Transmission Line Parameters of a Coaxial Cable]

Electric
and magnetic fields:
: radii of inner and outer conductors
Power
carried by the cable:

: peak incident voltage between inner and outer conductors
: peak incident total current on inner or outer conductor
: average incident power transmitted through the coaxial
cable
Characteristic
impedance:

Propagation
constant:
![]()
![]()
![]()
Transmission
line parameters:
![]()
![]()
![]()
![]()
![]()
Velocity
factor:


Dielectric
constant:
[Higher-order modes]

Mode order with increasing cutoff frequency:
TEM, TE11, TE21, TE31, TM01, TM11, TM21
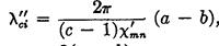
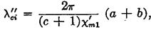
TM01:

TM11:

TM21:

TE11:

TE21:

TE31:

TM modes:

![]()
c = a/b = 3
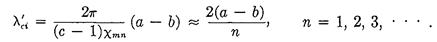
TE mode:


TEm1 mode:
![]()
TEmn mode:
![]()
c = a/b = 3
![]()
![]()
Design: 5.41GHz,
=55.45mm
fc = 5.41 ¡¿ 0.95 = 5.14GHz, ¥ë = 58.4mm
TE11: a = 14.3, d = 28.7
TE21 cutoff: ¥ë = 30.6, f = 9.8GHz