½Ç½À: ¸¶ÀÌÅ©·Î½ºÆ®¸³
Single-Section Quarter-Wave Transformer Design



2.3
Quarter-wave transformer ¼³°è
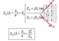
1) ÀÌ·Ð
- ¼³°è °ø½Ä


- ¼³°è ¿¹:
±âÆÇ: FR-4, À¯Àü»ó¼ö 4.3, À¯Àüü µÎ²² 1.2mm, µµÃ¼ µÎ²² 0.035mm
Z0 = 50 ¥Ø (w1 = 2.35mm),
RL = 100¥Ø, Z1 = 70.7¥Ø (w2 = 1.23mm), L = ¥ë/4
at 1GHz = 41.84mm


¹Ý»ç°è¼ö°¡ -20dB ÀÌÇÏÀÎ Á֯ļö ´ë¿ªÆø 350MHz (35%)
2) ½Ç½À
H = 30mm

1) 2.5GHz¿¡¼ ÀÓÇÇ´ø½º Á¤ÇÕÀÌ µÇµµ·Ï LÀ» ±¸Ç϶ó.
L = (
)mm
2) W1,
W0, W2¸¦ ±¸Ç϶ó.
W1 = (
)mm
W0 = (
)mm
W2 = (
)mm
3)
|S11|(dB):
¼öÁ÷Ãà -40dB ºÎÅÍ 0dB ¹üÀ§
|S22|(dB):
¼öÁ÷Ãà -40dB ºÎÅÍ 0dB ¹üÀ§
|S21|(dB):
¼öÁ÷Ãà -4dB ºÎÅÍ 0dB ¹üÀ§
¸¦ µµ½ÃÇ϶ó. ±ÛÀÚ Å©±â, ±×·¡ÇÁ ¼± ±½±â¸¦ Á¶Á¤ ÈÄ º¸°í¼¿¡ »ðÀÔÇ϶ó.