Textbook
Study Note
Chapter
1 Radio Technology
1.1
Introduction
Telemetry: long distance
Communications: wireless, wired or cable
Radio communication links
Data rate
Radio spectrum:
Sub-GHz:
RF or radio
Above
1GHz: microwave
1.2
Fundamentals of radio operation
Electromagnetic waves: electric field, magnetic
field
Frequency: Hz (hertz)
Radiation, radiator
Antenna
Wavelength
Free space
Speed of light (propagation)
![]()
Wavelength and propagation (penetration)
Short
wavelength: 300-900MHz
Long
wavelength: 1-300MHz
1.2.1
Components of a radio link
Antennas, transmitteres,
receivers, antenna support structures, cabling, interface equipments
Antenna support structure: masts, guys, towers
Cabling: coaxial, twisted pair, power cables
1.3
The radio spectrum and frequency allocation
1.3.1
General
Radio spectrum for public use:
HF:
2-30MHz
Low
VHF: 30-60MHz
Mid
VHF: 60-100MHz
High
VHF: 100-300MHz
Low
UHF: 300-600MHz
High
UHF: 600-900MHz
1.3.2
Single and two frequency systems
Channel bandwidth: 12.5kHz
or 25kHz
Simplex: single frequency, single direction or
two-direction
Duplex: two-frequency, 5MHz spacing
Half
duplex: f1 for Tx in one
direction, f2 for Tx in the other direction; only one
Tx at a time, application =
radio repeater
Full
duplex: f1 for Tx1, f2 for Tx2, f1 and f2 radiate simultaneously
1.4
Gain, level, attenutation and propagation
1.4.1
Gain and loss
(gain)
1.4.2
Level
![]()
![]()
![]()
![]()
1.4.3
Attenuation
30dBm → 25dBm: Attenuation 5dB, gain –5dB
1.4.4
Propagation
Propagation-related factors:
Frequency
Terrain
Time
of year
Weather
Moisture
and salt content of the terrain
Distance
of propagation
Antenna
heights
Antenna
types and polarization
1.4.4.1
Surface wave
Travel across the surface of the earth
Surface wave = ground wave: < 3MHz
Ground wave attenuation

Ground wave reception with
a Beverage antenna

Long-distance LF longwave
radio: 30-300kHz, ground wave propagation only
Medium wave: 0.3-3MHz, both
ground wave and skywave (for longer distances)
HF: 2-20MHz, sea surface
wave for up to 100km, skywave for longer distances
1.4.4.2 Ionospheric reflection and scatter
Ionosphere: 104
- 106 electrons/cm3
Ionospheric reflection
Skywave communicationi:
3-30MHz by ionospheric reflection, above 30MHz no reflection by ionosphere
Scatter communication:
multiple reflections between earth and ionosphere





1.4.4.3
Ionospheric refraction

1.4.4.4 Tropospheric (대류권) scatter


1.4.4.5 Line of sight (LOS)
Fresnel zone: a series of
confocal prolate ellipsoidal regions between Tx and Rx
- Can help to predict whether
obstructions or discontinuities along the path will cause significant
interference.
- N
half-wavelength out of phase with the straight-line path: destructive interference



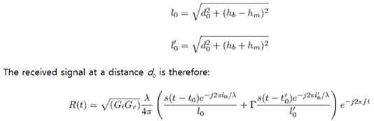
Two-ray model:



1.4.4.6 Diffraction

1.4.4.7 Ducting
