Á÷¼±µµ¼±ÀÇ ³»ºÎ ÀδöÅϽº
![]()
(À¯µµ)
![]()

![]()
![]()
![]()
![]()
![]()
![]()
![]()
(ÁÖ) ³»ºÎ ÀδöÅϽº´Â µµ¼±Á÷°æÀÌ 0À̰ųª Á֯ļö°¡ ¾ÆÁÖ ³ô¾Æ¼ µµÃ¼³»ºÎ¿¡¼ ÀÚ±âÀåÀÌ 0ÀÏ °æ¿ì »ç¶óÁø´Ù.
2. Á÷¼±µµ¼±ÀÇ ¿ÜºÎ ÀδöÅϽº: À¯µµ
![]()
3. ÆòÇà Á÷¼±µµ¼± °£ÀÇ »óÈ£ÀδöÅϽº: d
= µµ¼± Á߽ɰ£ °£°Ý
![]()
¼Ö·¹³ëÀ̵å: d = ÄÚÀϵµÃ¼ Á÷°æ

±³°ú¼ °ø½Ä:
(´©¼³ÀÚ¼Ó ¹«½Ã, ¹«ÇÑÈ÷ ±ä ¼Ö·¹³ëÀ̵åÀÇ ÀÏºÎ¶ó °¡Á¤)
Robert Weaver °ø½Ä: for air-core inductor. À¯¸íÇÑ Wheeler °ø½Ä(1982)ÀÇ °³¼±Çü

Âü°íÀ¥ÆäÀÌÁö:
Robert
Weaver: http://electronbunker.ca/CalcMethods3b.html
http://www.g3ynh.info/zdocs/magnetics/part_1.html
http://hamwaves.com/antennas/inductance.html
µ¿Ãà¿øÅë: ![]()
Åä·ÎÀ̵å(µµ³Ó¸ð¾ç): ![]()
Á÷¼±µµ¼±ÀÇ ³»ºÎ ÀδöÅϽº: ![]()
ÆòÇ൵¼±: ![]()
µµÃ¼ÆÇ À§ÀÇ ´ÜÀÏ µµ¼±: ![]()
ÆòÇà ½ºÆ®¸³: ![]()

µµÃ¼ÆÇ À§ÀÇ ´ÜÀÏ ½ºÆ®¸³:

![]()
µ¿ÀÏÆò¸é ½ºÆ®¸³:

![]()
Á¤»ç°¢Çü µµ¼±: ![]()
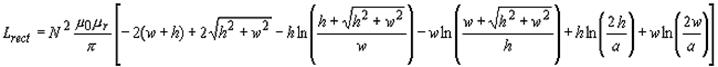
Á÷»ç°¢Çü µµ¼±:


¿øÇü·çÇÁ: ![]()
[º¹ÀâÇÑ ±¸Á¶ÀÇ ÀδöÅϽº]
º¹ÀâÇÑ ±¸Á¶: Æò¸é ¿øÇü/»ç°¢Çü ½ºÆÄÀÌ·², ¹Ì¾Ø´õ ÀδöÅÍ
ÀÎÅÍ³Ý °è»ê±â
ÇмúÁö ³í¹®, º¸°í¼, ÇÐÀ§³í¹®
»ó¿ë ¼ÒÇÁÆ®¿þ¾î: COMSOL