Lab: Microstrip Line Design

 

1. ÀÌ·Ð

1.1 ¸¶ÀÌÅ©·Î½ºÆ®¸³ ¼±·Î

 - µÎ²² h = 0.2-1.0mmÀÇ Á¢Áö¸éÀÌ ÀÖ´Â Àμâȸ·Î ±âÆÇ À§¿¡ Æø w (= 0.1-4 h)ÀÇ µµÃ¼ ½ºÆ®¸³À» »ý¼ºÇÏ°í µµÃ¼ ½ºÆ®¸³°ú Á¢Áö¸é »çÀÌ¿¡ ½ÅÈ£¸¦ Àΰ¡ÇÏ´Â Àü¼Û¼±ÀÇ ÀÏÁ¾.

- DC¿¡¼­ºÎÅÍ ¹Ð¸®¹ÌÅÍÆÄ(30-300 GHz), Å×¶óÇ츣Ã÷(> 1THz)±îÁö »ç¿ëÇÏ´Â Àü¼Û¼±. ¹ÝµµÃ¼ ³»ºÎ¿¡¼­µµ »ç¿ëµÈ´Ù.

   http://vhfdesign.com/wp-content/uploads/2016/07/fig7-LNA-2m-ATF531P8-microstrip-lines-PCB.png

   ±×¸²: ÀúÁÖÆÄ È¸·Î¿¡¼­ÀÇ ¸¶ÀÌÅ©·Î½ºÆ®¸³ ¼±·Î

 

   https://upload.wikimedia.org/wikipedia/commons/thumb/2/21/Microstrip_Distributed_Element_Filter_Technology.jpg/440px-Microstrip_Distributed_Element_Filter_Technology.jpg

   ±×¸²: °íÁÖÆÄ È¸·Î¿¡¼­ÀÇ ¸¶ÀÌÅ©·Î½ºÆ®¸³ ¼±·Î

 

1.2 ¸¶ÀÌÅ©·Î½ºÆ®¸³ ¼±·ÎÀÇ ±¸Á¶

 

http://mwrf.com/site-files/mwrf.com/files/archive/mwrf.com/files/30/17725/Figure_01.jpg

±¸¼ºÇ°: ½ºÆ®¸³, À¯Àüü ±âÆÇ, Á¢Áö¸é

 

1.3 ÀüÀÚ±âÀå/Àü·ù ºÐÆ÷

- Àü±âÀå/ÀÚ±âÀå ºÐÆ÷

https://www.safaribooksonline.com/library/view/rf-and-microwave/9781118349571/images/c04f006.jpg

- Àü·ù¹Ðµµ ºÐÆ÷: Àü·ù´Â Ãà¹æÇâÀ¸·Î È帧.

https://www.ecse.rpi.edu/frisc/theses/LWangThesis-MS/Image134.gif

 

1.4 ÇØ¼® °ø½Ä

- ¿Â¶óÀÎ ¼³°è Åø: http://qucs.sourceforge.net/tech/node75.html#SECTION001213100000000000000

- ¸¶ÀÌÅ©·Î½ºÆ®¸³ ¼±·Î¸¦ »ç¿ëÇϱâ À§ÇØ Æ¯¼º ÀÓÇÇ´ø½º¿Í À¯È¿ À¯Àü»ó¼ö¸¦ °áÁ¤ÇØ¾ß ÇÑ´Ù.

- Ư¼º ÀÓÇÇ´ø½º: Ư¼º ÀÓÇÇ´ø½º¿Í ºÎÇÏ ÀÓÇÇ´ø½º¸¦ ÀÏÄ¡½ÃÄÑ¾ß ºÎÇÏ¿¡¼­ Àü·ÂÀÌ ¹Ý»çµÇÁö ¾Ê´Â´Ù.

  Bahl(77) °ø½Ä:

http://examcrazy.com/Engineering/Electronics-Communication/images/Microstrip_ADS_and_LineCalc/image012.gif

http://www.eryptick.net/unisold/gifpics/msimp.gif

- À¯È¿ À¯Àü»ó¼ö: À¯È¿ À¯Àü »ó¼ö´Â ¼±·Î»óÀÇ ÆÄÀåÀ» °áÁ¤ÇÑ´Ù.

    

    : ¼±·Î»óÀÇ ÆÄÀå

    : ÀÚÀ¯°ø°£ ÆÄÀå

   Bahl(77) °ø½Ä

http://chemandy.com/images/microstrip-formula2.gif

 

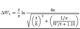
- ½ºÆ®¸³ µÎ²² ¿µÇâ: ´ÙÀ½ °ø½ÄÀÇ °ª ¸¸Å­ ½ºÆ®¸³ Æø Áõ°¡½ÃŲ ÈÄ °ø½Ä¿¡ ´ëÀÔ

  $\displaystyle \Delta W_1 = \dfrac{t}{\pi} \ln{\dfrac{4 e}{\sqrt{\left(\dfrac{t}{h}\right)^2 + \left(\dfrac{1/\pi}{W/t + 1.10}\right)}}}$ (Ư¼º ÀÓÇÇ´ø½º º¸Á¤ ½Ã)

$\displaystyle \Delta W_r = \dfrac{1}{2} \Delta W_1 \left(1 + \dfrac{1}{\varepsilon_r}\right)$(À¯È¿ À¯Àü»ó¼ö º¸Á¤ ½Ã)

Âü°í¹®Çå: Shih(89)

 

 

Âü°í¹®Çå: Chang(90)

Âü°í¹®Çå: Wu, "Microwae filter design"

Âü°í¹®Çå: Hartley, "RF/Microwave PC board design and layout"

 

5) Á֯ļö Ư¼º ¹× °¨¼è

   Âü°í À¥: https://www.ecse.rpi.edu/frisc/theses/LWangThesis-MS/LWangThesis.html

- Á֯ļö ¿µÇâ:

À§ ½ÄÀº ÀúÁÖÆÄ¿¡¼­ Àû¿ëµÇ´Â °ø½ÄÀ̸ç Á֯ļö°¡ Áõ°¡ÇÔ¿¡ µû¶ó À¯È¿ À¯Àü»ó¼ö´Â Áõ°¡ÇÏ°í Æ¯¼º ÀÓÇÇ´ø½º´Â °¨¼ÒÇÑ´Ù.

     https://www.ecse.rpi.edu/frisc/theses/LWangThesis-MS/Image128.gif

   https://www.ecse.rpi.edu/frisc/theses/LWangThesis-MS/Image129.gif

 

- ¼Õ½Ç(°¨¼è)

https://www.ecse.rpi.edu/frisc/theses/LWangThesis-MS/Image210.gif

- °¨¼è: Thompson(IEEE, T-MTT, 52(4), pp.1343-)

±âÆÇ = LCP (liquid crystal polymer), À¯Àü»ó¼ö 3.15, ¼Õ½ÇźÁ¨Æ® 0.005, µÎ²² 2-5mil (0.0508-0.127 mm)

Ư¼º ÀÓÇÇ´ø½º = 50¥Ø

https://www.researchgate.net/profile/Tejinder_Singh9/publication/279195168/figure/fig2/AS:294399985635334@1447201835018/Figure-6-Measurement-results-of-the-attenuation-of-microstrip-lines-on-various.png

»ó¿ë LCP ±âÆÇ/Àç·á: Rogers R/flex¢ç 3000, Sovay XYDAR¢ç LCP, RTP Compounds LCP, DuPont Zenite¢ç, Ticona Vectra¢ç.

 

2. ½Ç½À

±âÆÇ: FR-4, À¯Àü»ó¼ö 4.3, ¼Õ½ÇźÁ¨Æ® 0.02, À¯Àüü µÎ²² 1.0mm, µµÃ¼(½ºÆ®¸³, Á¢Áö) µÎ²² 0.034mm

ÇØ¼® Á֯ļö: 0.5-5.5GHz

 

2.1  ¸¶ÀÌÅ©·Î½ºÆ®¸³ 90-degree bend ¼³°è

1) ÀÌ·Ð

- º¥µå: ¹æÇâÀ» ¹Ù²Ù±â À§ÇØ ¸¶ÀÌÅ©·Î½ºÆ®¸³ ¼±·Î¸¦ ±¸ºÎ¸° ±¸Á¶

- 90µµ º¥µå: 90µµ ²©ÀÎ ¼±·Î

- Chamfering (= mitering): ²©ÀÌ´Â ºÎÀ§ÀÇ ¸ð¼­¸®¸¦ ÀûÀýÈ÷ Á¦°ÅÇÏ¿© ¹Ý»ç°è¼ö°¡ ÃÖ¼Ò°¡ µÇ°Ô ÇÏ´Â ÀÛ¾÷

    https://awrcorp.com/download/faq/english/docs/Elements/images/mbend2_fig1.png

Âü°í¹®Çå: Simberian(08)

 

- µî°¡È¸·Î

http://images.books24x7.com/bookimages/id_14818/fig265_01.jpg  http://images.books24x7.com/bookimages/id_14818/fig266_01.jpg

 

- Microwave Studio¿¡¼­ ¸¶ÀÌÅ©·Î½ºÆ®¸³ ¼±·Î ÇØ¼®½Ã wave portÀÇ Å©±â

https://i.ytimg.com/vi/k54XWrcI5Bc/maxresdefault.jpg

 

2) ½Ç½À

     H = 30mm

1) ¼±·ÎÀÇ Æ¯¼º ÀÓÇÇ´ø½º°¡ 50¥ØÀÌ µÇµµ·Ï w¸¦ °áÁ¤Ç϶ó.

   W = (          )mm

2) MWSÀÇ parameter sweep ±â´ÉÀ» ÀÌ¿ëÇϰųª ¼öµ¿À¸·Î Á֯ļö 0.1-10.1GHz ¹üÀ§¿¡¼­ ¹Ý»ç°è¼ö°¡ ÃÖ¼Ò°¡ µÇµµ·Ï ¸ð¼­¸® Á¦°Å Ä¡¼ö C¸¦ °áÁ¤Ç϶ó.

   C = (           )mm

3) ¹Ý»ç°è¼ö°¡ ÃÖ¼ÒÀÎ °æ¿ì MWS ÇØ¼® °á°ú

   |S11|(dB): ¼öÁ÷Ãà -40dB ºÎÅÍ 0dB ¹üÀ§

   |S21|(dB): ¼öÁ÷Ãà -4dB ºÎÅÍ 0dB ¹üÀ§

¸¦ µµ½ÃÇ϶ó. ±ÛÀÚ Å©±â, ±×·¡ÇÁ ¼± ±½±â¸¦ Á¶Á¤ ÈÄ º¸°í¼­¿¡ »ðÀÔÇ϶ó.

 

2.2 T-Á¢ÇÕ Àü·Â ºÐ¹è±â ¼³°è

1) ÀÌ·Ð

- ±¸Á¶

http://www.madmadscientist.com/html/ThesisImages/Image88.gif 

 

- µî°¡È¸·Î: ¼±·Î°¡ º´·Ä ¿¬°á. Mitering¿¡ ÀÇÇØ jB ÃÖ¼ÒÈ­

 

- ¼³°è °ø½Ä:

    

 

 

 

Âü°í¹®Çå: Chuang(14), Substrate: RO4003, ¥år = 3.38, h = 0.813mm

 

2) ½Ç½À

H = 30mm

   1) Z1 = 25¥Ø, Z2 = Z3 = 50¥Ø°¡ µÇ°Ô W1, W2, W3¸¦ °áÁ¤Ç϶ó.

   W1 = (            )mm

   W2 = W3 = (            )mm

2) Z1ÀÇ ÀԷ´ܿ¡¼­ÀÇ ¹Ý»ç°è¼ö°¡ ÃÖ¼Ò°¡ µÇµµ·Ï T-Á¢ÇÕ Á¦°ÅºÎ Ä¡¼ö a, b¸¦ °áÁ¤Ç϶ó.

   a = (           )mm

   b = (           )mm

3) ¹Ý»ç°è¼ö°¡ ÃÖ¼ÒÀÎ °æ¿ì

   |S11|(dB): ¼öÁ÷Ãà -40dB ºÎÅÍ 0dB ¹üÀ§

   |S21|(dB): ¼öÁ÷Ãà -4dB ºÎÅÍ 0dB ¹üÀ§

¸¦ µµ½ÃÇ϶ó. ±ÛÀÚ Å©±â, ±×·¡ÇÁ ¼± ±½±â¸¦ Á¶Á¤ ÈÄ º¸°í¼­¿¡ »ðÀÔÇ϶ó.

 

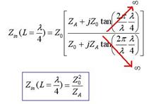
2.3 Quarter-wave transformer ¼³°è

1) ÀÌ·Ð

- ¼³°è °ø½Ä

http://www.antenna-theory.com/tutorial/txline/quarterwave.jpg

Circuit schematic of a quarter-wave transformer.

 

 

- ¼³°è ¿¹:

±âÆÇ: FR-4, À¯Àü»ó¼ö 4.3, À¯Àüü µÎ²² 1.2mm, µµÃ¼ µÎ²² 0.035mm

Z0 = 50 ¥Ø (w1 = 2.35mm), RL = 100¥Ø, Z1 = 70.7¥Ø (w2 = 1.23mm), L = ¥ë/4 at 1GHz = 41.84mm

Quarter-wave transformer in microstrip modeled in CST STUDIO SUITE ¢ç

S-parameter plot of the quarter-wave transformer   Smith Chart of the quarter-wave transformer from 0 – 4 GHz

 

¹Ý»ç°è¼ö°¡ -20dB ÀÌÇÏÀÎ Á֯ļö ´ë¿ªÆø 350MHz (35%)

 

2) ½Ç½À

H = 30mm

1) 2.5GHz¿¡¼­ ÀÓÇÇ´ø½º Á¤ÇÕÀÌ µÇµµ·Ï LÀ» ±¸Ç϶ó.

   L = (           )mm

2) W1, W0, W2¸¦ ±¸Ç϶ó.

   W1 = (            )mm

   W0 = (            )mm

   W2 = (            )mm

3)

   |S11|(dB): ¼öÁ÷Ãà -40dB ºÎÅÍ 0dB ¹üÀ§

   |S22|(dB): ¼öÁ÷Ãà -40dB ºÎÅÍ 0dB ¹üÀ§

   |S21|(dB): ¼öÁ÷Ãà -4dB ºÎÅÍ 0dB ¹üÀ§

¸¦ µµ½ÃÇ϶ó. ±ÛÀÚ Å©±â, ±×·¡ÇÁ ¼± ±½±â¸¦ Á¶Á¤ ÈÄ º¸°í¼­¿¡ »ðÀÔÇ϶ó.