실험, 06 - 저역통과필터
I. 이론
1. 수동필터 vs 능동필터
ㅇ 저역통과필터


ㅇ 수동필터 vs 능동필터
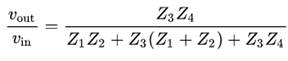
- 수동 LPF

- 능동 LPF

ㅇ 능동필터의 특징
- Can have gain
- Amplifier: prevents impedance
loading of the following stage
Good
isolation between stages: hign Zin low Zout
Multiple
stages can be combined to tailor the response.
- Inductors are not used: bulky or
expensive, especially at audio frequencies
- Filter response tuned with
inexpensive R
Tunable over a wide range
- In some active filters, one
filter parameter can be adjusted without affecting the others.
- Upper frequencies are limited by
the frequency response of the amplifier.
2. 능동 LPF
ㅇ 필터차수
- 필터에 사용된 에너지 저장부품의 개수와 동일
- 차수가 클수록 roll-off 기울기 증가
Roll-off = 20N dB/decade

2.1 1차 LPF



2.2 2차 LPF


ㅇ Multiple feedback topology

- Two poles in the transfer function

ㅇSallen-Key topology
- 특징: 2차 능동필터 구조, VCVS 필터 구조의 일종, 회로단순
- LPF





- HPF

- BPF

ㅇ Biqud filter
-Transfer function: ratio of two quadratic functions


![]()
3. 실험회로 해석

![]()
