ICE-079
Microwave Engineering (ÃʰíÁ֯İøÇÐ)
1. Basic Information
• Syllabus
• Grading policy: Exams 20% each, Lab 15%, HW 15%, Atten 10%
• Textbook:
- K. Chang, RF
and Microwave Wireless Systems, Wiley, 2000.
- RF ¹×
ÃʰíÁ֯İøÇÐ, Kai Chang ¿øÀú, È«ÀÍÇ¥ ¿ª,
ÇѺû¾ÆÄ«µ¥¹Ì, 2014.
• °úÁ¦¿ë Çлý°íÀ¯¹øÈ£ PIN: Çб³¿¡ µî·ÏµÈ ÀÚ½ÅÀÇ À̵¿ÀüÈ ³¡
4ÀÚ¸®.
»ç¿ë ¿¹:
1C ÀüÇϷκÎÅÍ
PIN (m) ¶³¾îÁø Á¡¿¡¼ Àü±âÀå ¼¼±â (V/m)¸¦ ±¸Ç϶ó.
• °úÁ¦: °úÁ¦ Á¦Ãâ ÇØ´çÁÖ ÀÏ¿äÀÏ 24:00±îÁö
• Áß°£½ÃÇè:
8ÁÖÂ÷ ¼ö¾÷½Ã°£,
5¿ù8ÀÏ
15:00-15:30
- ¹üÀ§: ´ÙÀ½ ÁÖ¿¡ Á¦°øµÉ Àü¹ÝºÎ ¿¹Á¦ ¹× Ç®ÀÌ¿Í À¯»çÇÑ ¹®Á¦
- ºÎÁ¤ÇàÀ§ ¹æÁö: Á¦ÇÑµÈ ½Ã°£(¹®Á¦´ç ¾à 2ºÐ, 12¹®Á¦), ¸ðµç ¹®Á¦¿¡ Çлý°íÀ¯¹øÈ£ PIN ¼öÄ¡°¡ µé¾î°¡¸ç ¹®Á¦ÀÇ ÀϺθ¦ ÇлýÀÌ ¸¸µé¾î¼ Ç®¾î¾ß ÇϹǷΠÇлý¸¶´Ù ´äÀÌ ¸ðµÎ ´Ù¸§. ±×·³¿¡µµ ºÎÁ¤ÇàÀ§ ÀǽÉÀÌ µÇ´Â °æ¿ì °³º°
¿ø°Ý¸é´ãÇÏ¿© È®ÀÎÇÒ ¿¹Á¤ÀÔ´Ï´Ù.
2. Weekly Lectures
------------------------------------------------------------------------------------------------------------------
Week-07: Ch04 Components(2)
À̹ø ÁÖºÎÅÍ ´ã´ç±³¼ö ¿µ¾î°ÀÇ(À½¼º only)·Î ÁøÇàÇÕ´Ï´Ù. ¿©·¯ºÐÀÇ ÀÌÇØ¸¦ µ½±â À§ÇØ Çѱ۽½¶óÀ̵带 »ç¿ëÇÏ¿´½À´Ï´Ù. ¿µ¾î±³Àçµµ Âü°í·Î º¸±â ¹Ù¶ø´Ï´Ù.
¿µ¾î±³Àç: Ch 4
Lecture 07-1: Sec 4.1(pptx, mp4, pdf)
Problem
7.1 Draw symbols of a) a circulator and b) a mixer.
Lecture 07-2: Sec 4.2 & 4.3 (pptx, mp4,
pdf)
Problem
7.2 Directional coupler: Input power = 1W (1000mW=30dBm), Coupling = 20dB,
Directivity = 50dB.
Find
a) the power at the coupled port and b) the power at the isolated port.
Lecture 07-3: Sec 4.4 to Sec 4.8 (pptx, mp4,
pdf)
Problem
7.3 Swith: ON-state attenuation = 1dB, OFF-state isolation = 40dB. Find the
Pout when a) the switch is ON and b) the switch is OFF.

------------------------------------------------------------------------------------------------------------------
Week-06: Ch04 Components(1)
Lecture 06-1: Directional coupler basics
Problem 6.1 How many ports are there in a
directional coupler?
Lecture 06-2: Directional
coupler in an SWR meter
Problem
6.2 What is a dual directional coupler?
Lecture 06-3: Microwave
components example, 24GHz Doppler radar module
Problem
6.3 Name the components used in the 24GHz Doppler radar in Lecture 06-3.
Lecture notes: Chang chapter 4 (text, slid0es)
------------------------------------------------------------------------------------------------------------------
Week-05: Ch03 Antenna systems(2)
Lecture 05-1: Antenna polarization
Vertical
polarization, Hoizontal
polarization, Circular
polarization, Cross polarization,
Microstrip antenna
circular polarization
Antenna cross polarization
loss
Problem 5.1 What is the circular
polarization?
(°øºÎÀÚ·á) Antenna
polarization
Lecture 05-2: MIMO antenna technology
MIMO in wireless sysrtems,
What is MIMO?, Dual-band WiFi MIMO antenna
design
Problem 5.2 What is the MIMO antenna
technology?
(°øºÎÀÚ·á) MIMO
antenna basics 1, MIMO antenna basics
2
Lecture 05-3: Antenna arrays
Antenna arrays, Phased-array simulation for
5G
Problem 5.3 What is the phased array
antenna
(°øºÎÀÚ·á) Antenna array
------------------------------------------------------------------------------------------------------------------
Week-04: Ch03 Antenna systems(1)
Lecture 04-1:
Antenna gain, https://www.youtube.com/watch?v=NgWSLKcPJ6o
RF and antenna basics, https://www.youtube.com/watch?v=tyr_u8Zfw2U
4.1 Convert 17 dBm power into mW?
(Answer) 17 dBm = 1017/10
mW =
Lecture 04-2: Friis equation, https://www.youtube.com/watch?v=_FWgvvoPmQQ
(Problem) 4.2 With Gt = 20 dB (linear 100), Gr = 10 dB (linear),
frequency = 1 GHz, distance r = PIN
(m), Pt = 10
dBm (10 mW), find the received power.
Lecture 04-3: Helical antenna, https://www.youtube.com/watch?v=QU14gDUNlG4
(Problem) 4.4 With ¥ë = PIN (m), design a six-turn helical
antenna and find its Zin, G, and HPBW.
Lecture
04-4: Yagi antenna, https://www.youtube.com/watch?v=M-9FT5HxSBI
(Problem) 4.4 With f0 = PIN (MHz), design a
three-element Yagi antenna with a folded dipole driver.
Lecture 04-5: Loop antenna, https://www.youtube.com/watch?v=HpoOPdelP8Q
(Problem) 4.5 With f0 = PIN (MHz), design a
full-wave loop antenn. What is its input impedance?
----------------------------------------------------------------------------------------------------------------------
Week-03:
Ch02
Transmission lines and impedance matching (2) (°úÁ¦
ÇØ´ç ÁÖ
ÀÏ¿äÀÏ 24:00±îÁö)
Lecure 03-1: S parameters, https://www.youtube.com/watch?v=inH_BYQ6feM&t=2s
(Homework)
3.1
Define S11 and S21 of a two-port network.
(Answer)


Lecture 03-2: Smith chart, https://www.youtube.com/watch?v=CMBZmiAqRTM
(Homework)
3.2 Draw the r =1 circle on
the Smith chart.

Lecture
03-3: Impedance matching, https://www.youtube.com/watch?v=C1gLdVxwsZg
(Homework)
3.3
What is the impedance matching?
(Answer)
Transforming of the load impedance into the characteristic impedance of the
transmission line
3.4
List three methods of the impedance matching.
(Answer)
1) Impedance
matching with series and parallel lumped elements
2) Impedance
matching with series or parallel stubs
3) Impedance
matching with a quarter-wave transformer
---------------------------------------------------------------------------------------------------------------------
¼÷Á¦ Á¦Ãâ: 3/29 ÀÏ 24:00±îÁö (°ÀÇûÃëÇÏ¸é ¹Ù·Î Ç®À» ¼ö ÀÖÀ½)
Week-02: Ch02 Transmission lines and impedance matching
(1)
Video Lecture: Transmission Lines, https://www.youtube.com/watch?v=sVBFdYgBre4
(Homework)
2.1 A transmission line (Àü¼Û¼±) has a length L. On what
condition can it be treated as a lumped-element circuit (ÁýÁß¼ÒÀÚ È¸·Î)?
(Answer) L is much smaller than the wavelength.
2.2 Draw an lumped-element equivalent circuit (µî°¡È¸·Î) of a short section of a transmission line.
(Answer)

2.3 Write down the formulas for the complex
propagation contant ¥ã (º¹¼ÒÀüÆÄ»ó¼ö) and the characteristic impeance Z0
(Ư¼ºÀÓÇÇ´ø½º).
(Answer)
Complex propagation constant:

Characteristic impedance Z0:
![]()
2.4 Write down the formulas for the reflection
coefficient (¹Ý»ç°è¼ö) in terms of ZL
(ºÎÇÏÀÓÇÇ´ø½º) and Z0
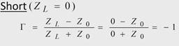
(Ư¼ºÀÓÇÇ´ø½º).
(Answer)
![]()
2.5 Write down the reflection coefficient ¬¤o of an open circuit, ¬¤s of a short circuit, and ¬¤m of a (matched) load.
(Answer)



(Âü°í) »ó¼¼ Çѱ¹¾î °ÀÇ¿µ»ó, https://www.youtube.com/watch?v=LwDye_H0eco&t=1384s
-----------------------------------------------------------------------------------------------------------------------
Week-01:
Ch01 Introduction (Äڷγª19·Î ¿ø°Ý¼ö¾÷)
Video
lecture: Maxim Integrated, "Fundamentlas of RF and Wireless
Communications", https://www.youtube.com/watch?v=pSDTyUh9cLo
Do the homework
after watching the video lecture.
Homework:
1.1
Explain the operation of OOK modulation.
(Answer) AM
modulation with RF signal on when the modulating digital signal is 1 (high) and
RF signal off when 0.
1.2
Explain the Fourier transformation of a signal?
(Answer) When
a signal is Fourier-transformed, the amplitude and phase of the signal is
obtained versus the frequency.
1.3 What
is the difference between a half-duplex system and a full-duplex system. Give
an example of a full-dulex system.
(Answer)
Half-duplex
system: Transmission and reception not at the same time but at different times.
Full-duplex
system: Transmission and reception at the same time.
Example of
a full-duplex system: Telephone (mobile cellular phone or home wired phone)
1.4 What
do the following acronyms stand for? (spell out each acronym)
a) LNA (low noise
amplifier)
b) PLL (phased locked
loop)
c) PA (power amplifier)
d) PD (phase detector)
e) VCO (voltage
controlled oscillator)
f) VGA (variable gain
amplifier)
g) OSC (oscillator)
1.5 What
is the channel spacing?
(Answer)
Frequency separation between communication channels used to avoid interference
between adjacent channels.
1.6 What
is the definition of ACPR?
(Answer)
ACPR (adjacent channel power ratio): The ratio of the average power in the
adjacent frequency channel to the average power in the transmitted frequency
channel)
1.7 What
is the definition of SNR?
(Answer)
SNR (signal to noise ratio): The radio of the signal power to the noise power
1.8 What
is the definition of NF?
(Answer)
NF (noise figure): The ratio of the signal-to-noise ratio (SNR) at the output
to the SNR at the input
1.9 What
is the difference between the bit rate and the symbol rate?
(Answer)
Bit rate: The number of
digital signal bits transmitted per second
Symbol rate: The number
of symbols (a symbol is a ground of bits) transmitted per second
1.10 What
is the definition of BER?
(Answer)
The ratio of bits in error to the total number of bits received
1.11 What
is the defintion of P1dB?
(Answer)
The output power level at which the gain decreases 1dB from its constant gain
value
References:
Textbook:
Chang, "Chapter
1 Introduction"
Slide:
Cho, "Microwave
Systems"
--------------------------------------------------------------------------------------------------------------
Week-02: Ch02 Transmission lines and impedance matching
Week-03: Ch02 Transmission lines and impedance matching
Week-04: Ch03 Antenna systems
Week-05: Ch03 Antenna systems, Exam 1
Week-06: Ch04 Components 1
Week-07: Ch04 Components 2, Àü¹ÝºÎ ¿¹Á¦ ¹× Ç®ÀÌ
Week-08: Mid-term exam
Week-09: Ch05 Receivers
Week-10: Ch06 Transmitters, Exam 2
Week-11: Ch06 Transmitters
Week-12: Ch07 Radars
Week-13: Ch07 Radars
Week-14: Ch08 Wireless communication systems
Week-15: Ch08 Wireless communication systems, Exam 3, Final
exam